Compare Plans

PSTN是什么技术?由哪些组成?

概述

PSTN(Public Switched Telephone Network)是一种全球性的语音通信电路交换网络,它是目前世界上最大的网络之一,拥有庞大的用户群体。PSTN最初是基于模拟技术的固定线路电话系统,但随着技术的发展,其核心已经几乎完全数字化。PSTN包括电话线、光纤电缆、微波传输链路、蜂窝网络、通信卫星等多种传输方式,通过交换中心连接,实现全球范围内的电话通信。

PSTN的技术标准由国际电信联盟(ITU)规定,采用电话号码进行编址。它的网络结构主要由交换系统和传输系统组成,交换系统中的设备主要是电话交换机,而传输系统则由传输设备和线缆组成。随着业务的发展,PSTN正在向NGN(Next Generation Network)、移动与固定融合的方向发展,以适应语音、数据、图像等传送需求。

PSTN提供的是一个模拟的专有通道,通道之间经由电话交换机连接而成。在进行数据传输时,需要使用调制解调器(Modem)实现信号的模/数、数/模转换。由于PSTN是一种电路交换的方式,所以在通信双方建立连接后,即使没有数据传输,该通路也会独占带宽,导致网络资源利用率较低。

我们的PSTN网络架构

随着技术的发展,PSTN也出现了新的方式,如使用SIP_TRUNK的方式,将信令流和数据流传输到Internet上,以适应现代通信的需求。尽管PSTN在现代通信中面临着基于IP的通信技术的挑战,但它仍然是一个不可或缺的通信基础设施,尤其是在提供稳定的语音通话服务方面。

电话网络等级结构图    

电话网络等级结构图

 
图二    本地网网络结构
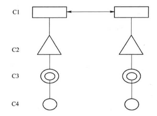
交换中心。第一级交换中心之间相互连接构成网状网,以下各级交换中心逐级汇接,   根据业务流量和经济合理的原则,组织一定数量的横向或斜向直  达电路。最初的四级长途网如图三所示。
Cl 为大区交换中心 ,当时中国有 6 大中心(西安、北京、沈阳、南京、武汉、成都)和4 大辅助中心(天津、重庆、广州、上海),有的提法为8 大中心,是在 6 大中心加入了广州、上海;C2 为省长途交换中心;C3 为地区、市长途交换中心;C4 为县、区长途交换中心。四级网等级结构分明,充 分利用了当时较为紧张的电路资源,在电话网发展的初期阶段发挥了重要作用。
随着电信新技术的出现和新业务的需求,网路运行质量和管理水 平明显改善, 业务流量流向发生变化,原有的四级组网方式渐渐不能适应网路发展和业务需要。  根据相关技术体制 ,结合我国电话网路组织和运行管 理的实际情况,所出台的《全
图 三   四级长途网
国长途电话网网路组织管理暂行规定》提出调整方案为:根据各长途交换中心所汇 接的主要话务类型 ,将汇接全省转接(含终端)长途话务的交换中心设为 DCI  交换中心,将主要汇接本地网终端话务的交换中心设为  DC2  交换中心。二级长途网如图 四 所示。


图四    二级长途网
       无级动态选路网相对二级选路网而言,是为了适应电信网中普遍存在的话务量不一致而出现的一种新技术,与传统网络结构有本质区别。所有交换中心不分等级,完全平等,各长途交换机利用计算机控制智能可以在整个网路中灵活选择最经济、最空闲的通路,在任何时候都可以充分利用网路中的空闲电路疏通业务  。美国在1984 年成为世界上第一个在长途网上采用无级动态网技术的国家,从而打破了长途交换网分为若干级的传统网路组织原则。网路结构的简化使长途交换网的网路性能达到前所未有的水平,运营者从中获得了巨大的效益。无极网也将成为我国长途电话网发展的方向 。

PSTN网络的主要组成部分有哪些?

PSTN(Public Switched Telephone Network,公共交换电话网络)的主要组成部分包括:

  1. 传输系统:主要以有线(电缆、光纤)为主,同时有线和无线(卫星、地面和无线电)交错使用,用于传输语音和信号。

  2. 交换系统:设于电话局内的交换设备,即电话交换机,负责处理呼叫的路由、呼叫控制和信令传输等功能。这些交换机已逐步程控化、数字化,由计算机控制接续过程。

  3. 用户系统:包括电话机、传真机等终端以及用于连接它们与交换机之间的一对导线(称为用户环路)。用户终端已逐步数字化、多媒体化和智能化,用户环路也在数字化和宽带化。

  4. 信令系统:为实现用户间通信,在交换局间提供以呼叫建立、释放为主的各种控制信号。

  5. 配套设施:包括电话号码管理、计费系统、报警系统、呼叫转移等功能,为用户提供全面的电话服务。

这些组成部分共同构成了PSTN网络,支持传统的电话通信服务。随着技术的发展,PSTN正在逐步向基于IP的通信网络过渡,但它仍然是全球通信基础设施的重要组成部分。

PSTN在数字时代是如何演进的?

PSTN的数字时代演进

PSTN(公共交换电话网络)在数字时代的演进经历了从模拟到数字的转变,以及与新兴通信技术的融合。早期的PSTN基于电路交换技术,使用模拟信号进行通信。随着技术的发展,电子交换机和程控交换机的引入,PSTN开始支持数字信号,提高了通话质量和传输效率。

在20世纪60年代,脉冲编码调制(PCM)技术的应用使得模拟信号数字化,这一技术的成功应用不仅提高了通话质量,还增加了传输距离,节约了线路成本。1970年,法国开通了世界上第一部程控数字交换机,标志着数字交换时代的开始。

随着时间的推移,PSTN的核心网部分,即交换机与连接交换机的电路中继,已经完全数字化。尽管用户终端和最后一公里的连接仍然基于模拟技术,但PSTN的数字化已经成为其核心部分的标准。

在数字时代,PSTN还经历了与移动通信网络的整合,以及与互联网协议(IP)技术的结合,如VoIP(Voice over Internet Protocol)的出现。这些技术的融合扩展了PSTN的能力和范围,使得通信更加灵活和高效。

当前,PSTN正在经历进一步的数字化转型,企业被推动采用大数据、云计算和人工智能等先进信息技术,以提升运营效率、优化资源配置,并加速产品研发进程。智慧升级则是在数字化转型的基础上,利用智能化技术推动企业的创新发展,实现对市场变化的快速响应和精准把握客户需求。

综上所述,PSTN在数字时代的演进是一个从模拟到数字,再到与多种通信技术融合的过程,它不断地适应新的技术标准和市场需求,以维持其在现代通信网络中的重要地位。

PSTN与NGN相比有哪些不同之处?

PSTN(公共交换电话网络)与NGN(下一代网络)是通信网络的两种不同技术。PSTN是基于传统的电路交换技术,而NGN是基于分组交换技术,支持多种业务的融合,包括语音、数据、视频等。以下是两者的对比:

技术架构

  • PSTN:采用传统的电路交换技术,信号传输是连续的,依赖于物理连接。
  • NGN:基于IP技术,实现了业务与呼叫控制的分离,支持业务的灵活提供和网络的高效运营。

服务能力

  • PSTN:提供基本的语音通话服务,技术较为成熟但扩展性和灵活性有限。
  • NGN:能够提供更丰富的多媒体服务,支持移动性和统一性,以及与多种网络的融合。

网络优化与演进

  • PSTN:网络结构较为固定,升级和维护成本较高。
  • NGN:支持网络的逐步演进,可以利用现有网络资源,同时引入新技术以提高效率和降低成本。

质量服务(QoS)

  • PSTN:提供稳定的服务质量,但在数据传输方面性能有限。
  • NGN:通过IP技术提供端到端的QoS保证,能够更好地适应不同类型的数据传输需求。

经济性

  • PSTN:由于技术老化,运营成本较高。
  • NGN:通过IP网络的复用和优化,可以降低成本,提高经济效益。

用户体验

  • PSTN:用户体验较为传统,缺乏现代通信服务的多样性。
  • NGN:提供更好的用户体验,支持个性化服务和应用,如视频通话、在线会议等。

综上所述,NGN在技术架构、服务能力、网络优化、QoS保证、经济性和用户体验等方面相比PSTN有显著的优势,代表了通信网络的发展方向。

下一篇

 我国三网融合的科学及长远目标目标

最新动态

我国三网融合的科学及长远目标目标

三网融合的科学目标是创造全新的互联网,三网融合的长远目标不能局限于两大行业的相互准入 。广电部门的目标是用 10 年时间建成覆盖全国 3 亿家庭的下一代广播电视网( NGB) ,加速形 ...

相关内容

什么是PSTN?PSTN在应急通信下的作用有哪些?

什么是PSTN?PSTN在应急通信下的作用有哪些?

目前,多数情况下,公众还是选用电路交换网络(PSTN或移动通信)拨打应急部门的紧......

最新动态

2022-08-19

外部网

外部网

外部网可以分为两类: 1) 电路交换网(CS Networks):提供电路交换的......

最新动态

2021-03-02

交换网络设计的基本要求

交换网络设计的基本要求

在硬件总体设计中,交换网络的设计是一个核心问题,应考虑到以下的基本要求。 (1)......

行业咨询

2020-06-12

Baidu
map